Het Holografisch Principe, voorgesteld door de natuurkundigen Leonard Susskind en Gerard ’t Hooft, suggereert dat de volledige informatie* van ons drie dimensionale heelal plus tijd kan worden afgebeeld op een driedimensionaal oppervlak van een vierdimensionale bol.
Oftewel; alle informatie* in een bepaald volume kan worden beschreven door informatie op het bijbehorend oppervlak, net zoals een hologram een 3D-beeld kan weergeven op een 2D-oppervlak. Vandaar de naam.
* In onze tijd, waarin computers en de daarbij behorende informatietheorie een steeds grotere rol spelen, beschouwt men in een deel van de natuurkunde alles (materie, plaats, tijd en zwaartekracht) als informatie.
(Zie ook: A Thin Sheet of Reality: The Universe as a Hologram)
In de context van de natuurkunde heeft het holografisch principe verregaande implicaties. Het suggereert dat de informatie in een zwart gat wordt gecodeerd op zijn oppervlak, bekend als de gebeurtenishorizon. Dit betekent dat de informatie in het zwarte gat fundamenteel tweedimensionaal is, in plaats van driedimensionaal.
De implicaties van het holografisch principe zijn diepgaand en hebben geleid tot nieuwe inzichten in de aard van ruimte, tijd en zwaartekracht. Het heeft ook nieuwe gebieden van onderzoek geopend, waaronder de studie van de zwart gat-informatieparadox en de holografische aard van het universum.
Ten slotte heeft het holografisch principe ook implicaties voor de zoektocht naar een “theory of everything“. Het suggereert dat een dergelijke theorie zou moeten kunnen verklaren hoe de informatie in het universum wordt opgeslagen en verwerkt.
In de wiskunde en natuurkunde bestaat er een belangrijk concept bekend als “dimensionality reduction“. Dit concept wordt gebruikt in verschillende gebieden, zoals de kwantummechanica, de relativiteitstheorie en de informatietheorie.
Een fundamenteel principe in de wiskunde en natuurkunde luidt; Als van een n-dimensionaal stelsel een dimensie een functie is van een of meer van de andere dimensies dan kan dat stelsel in n-1 dimensies worden uitgedrukt.
Mijn hypothese is dat tijd een afgeleide is van afstand en dus een functie van de x, y en z coördinaten.
Dit zou betekenen dat onze drie dimensionale ruimte plus tijd kan worden afgebeeld op een driedimensionale ruimte.
Oftewel: als we weten wat de afstand is die een deeltje t.o.v. een waarnemer heeft afgelegd weten we ook in welke tijd het zich voor de waarnemer bevindt.
Voor een tijdloos deeltje als het foton is dit eenvoudig in te zien; als een foton voor de waarnemer een afstand heeft afgelegd van bijna 300.000 km dan heeft het voor de waarnemer ook een seconde afgelegd.
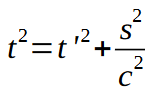
Uit de relativiteitstheorie blijkt tevens dat als een materiedeeltje zich door de ruimte verplaatst er geldt:

t is hier de tijd van de waarnemer en t’ is de tijd van het materiedeeltje.
Dit is ook te schrijven als

Oftewel: als een deeltje met tijd een afstand overbrugt in de ruimte van een waarnemer, dan overbrugt het niet alleen een afstand maar ook een bepaalde tijd.
Hiermee is het Holografisch principe een feit.
Het heeft er alle schijn van dat materie voor een waarnemer door de tijd gaat omdat materie uit allerlei ladingen bestaat die met de lichtsnelheid bewegen.
Zo kan bijvoorbeeld een elektron worden beschreven als een lading die met de lichtsnelheid langs een Möbiusring beweegt.
Verklaring van het Holografisch Principe in een tweedimensionale wereld.
Als in een tweedimensionale wereld geldt dat tijd een functie is van afstand en er in deze wereld twee soorten deeltjes bestaan dan is het volgende voor te stellen:
- Deeltje 1 is een deeltje dat zich alleen rechtlijnig voortbeweegt
- Deeltje 2 bestaat uit twee onderdelen die door elkaar worden aangetrokken en om elkaar heen draaien
Er geldt dat als deeltje 1 een afstand heeft afgelegd van bijna 300.000 km t.o.v. een waarnemer dit door de waarnemer met een tijdsverschil van 1 seconde wordt waargenomen.
De waarnemer zelf bestaat net als alle overige materie uit het tweede deeltje.
Als er twee waarnemers zijn, die zich niet t.o.v. van elkaar verplaatsen, en de twee deeltjes waaruit de waarnemers zijn samengesteld hebben een afstand afgelegd van bijna 300.000 km dan heeft voor beide waarnemers de andere waarnemer een tijd afgelegd van 1 seconde.
De tijdsvector van beide waarnemers staat, vanwege de rotatie, loodrecht op de tweedimensionale ruimte.
Als waarnemer 1 (t’) een afstand aflegt t.o.v. waarnemer 2 (t), dan heeft waarnemer 1 niet alleen die afstand afgelegd maar ook een zeker tijd.
Er geldt dat

En hoewel beide waarnemers tijd als een extra dimensie ervaren is dit uiteraard niet het geval.