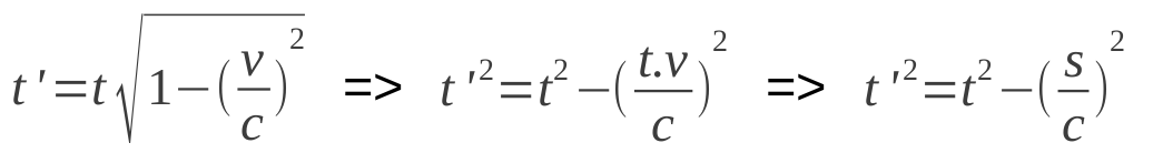
Zoals ik in mijn publicatie op https://AlternatiefOerknaltheorie.nl/ duidelijk maak kan de belangrijkste formule uit de speciale relativiteitstheorie beter anders worden weergegeven.


waarbij t staat voor de tijd van de waarnemer en s voor de afstand afgelegd in het inertiaalstelsel van de waarnemer, waarbij 1/c gelezen kan worden als een natuurconstante met de waarde gelijk aan 1 seconde per 10^8 m.
Dit fenomeen is enigszins vergelijkbaar met wat we meemaken als we in een vliegtuig stappen en bijvoorbeeld van Schiphol naar Moskou vliegen. Daar aangekomen blijkt het drie uur later te zijn dan ons eigen horloge aangeeft. Je zou kunnen zeggen dat we het overbruggen van een aantal kilometers ook een zekere tijd hebben overbrugd. In het heelal ligt het wel anders want het maakt namelijk niet uit in welke richting we vliegen. Als we met een raket de aarde verlaten en een flink aantal kilometers overbruggen dan zullen we ontdekken dat we ook een zekere tijd hebben overbrugd. Het maakt niet uit in welke richting we dat doen.
We hoeven de aarde niet eens te verlaten om het zelfde te meten. Als we in een cyclotron een deeltje versnellen dan zullen we zien dat dat deeltje ook een zekere tijd heeft overbrugd.
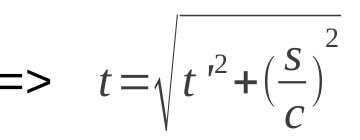
Ofwel: De tijd van de waarnemer kan worden weergegeven in een vlak met twee loodrecht op elkaar staande coördinaten, waarbij t’ de tijd is van het bewegende deeltje en s/c de afstand omgerekend naar tijd voorstelt.

Uiteraard levert deze formule precies de zelfde resultaten als de formule van Einstein maar laat hij zich anders lezen, namelijk:
Een klok die zich in het inertiaalstelsel van de waarnemer verplaats over een afstand s in een eigen tijd t’ zal daar voor de waarnemer t seconden over doen.
En dus zal een klok die zich met een oneindige snelheid door het inertiaalstelsel van de waarnemer beweegt door de waarnemer met een snelheid c worden waargenomen.
Uiteraard kost het oneindig veel energie om deze snelheid te bereiken.
De factor s/c uit de laatste formule beschrijft ook de algemene relativiteitstheorie.
Ook hier kan 1/c gezien worden als de natuurconstante die de omrekening van tijd naar afstand en/of afstand naar tijd mogelijk maakt.
Tijd en ruimte zijn dus niet van elkaar te onderscheiden.
Zo kan een versnelling/gravitatie worden omgerekend naar een maat voor de tijdsdilatatie per meter.
Voorbeeld: De versnelling op aarde bedraagt
10 m/s^2 => gravitationele tijdsdilatatie per meter:
Zo wordt de versnelling/gravitatie omgerekend naar een maat voor de tijdsdilatatie per meter.
Een klok op 10 meter hoogte zal dus
sneller lopen dan op aarde.